Results Summary
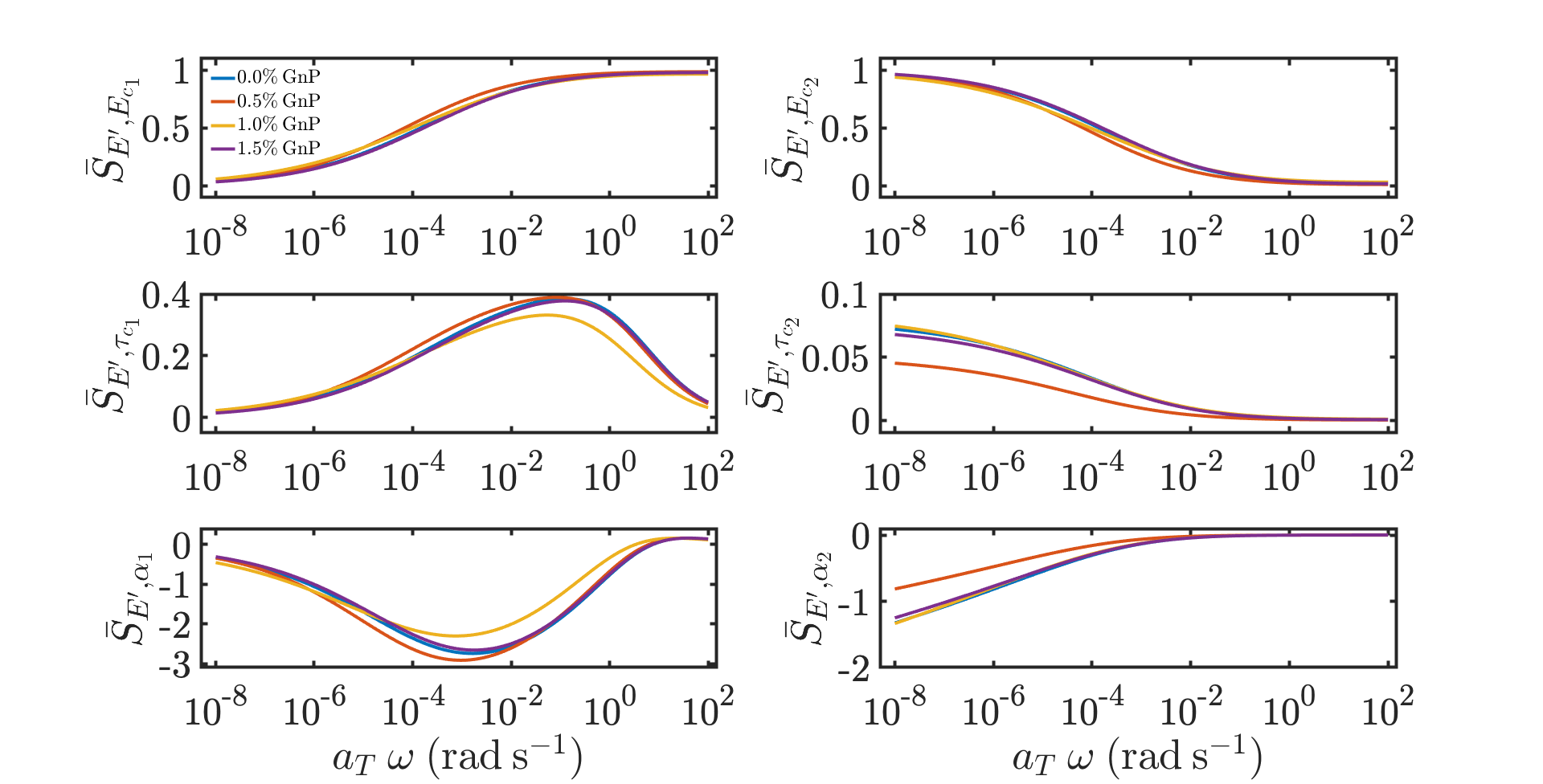
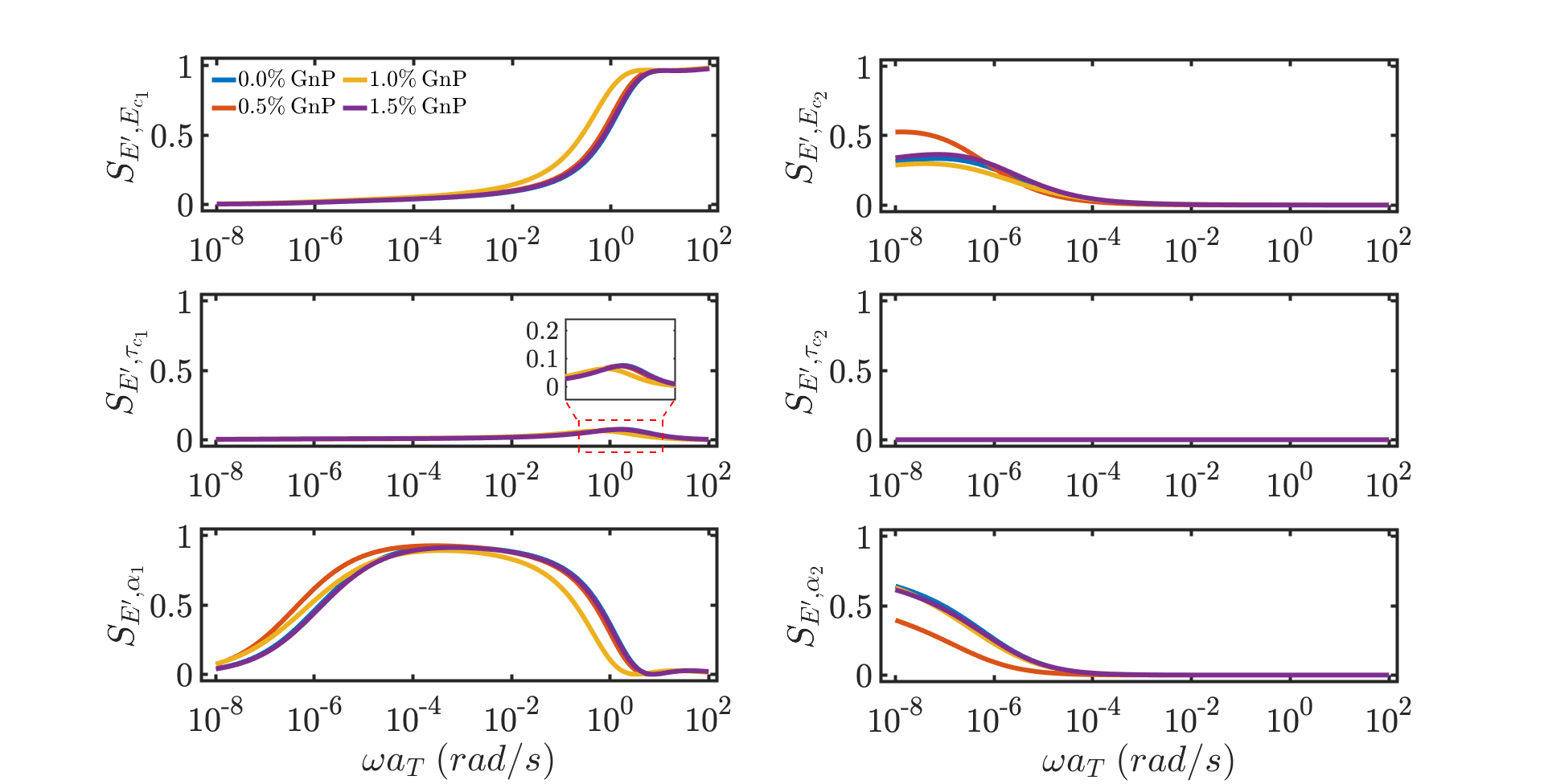
In this section, a brief overview of the results corresponding to the LSA and GSA are provided. For more comprehensive results presentation and in-depth discussion, please refer to the paper linked to this repository.




In this section, a brief overview of the results corresponding to the LSA and GSA are provided. For more comprehensive results presentation and in-depth discussion, please refer to the paper linked to this repository.



